Homework 1
Search 练习(其实是 Mermaid 使用练习),以后不会写这么详细了
从 HW 1 开始,所有的作业包含 Part A && Part B 两部分
Part A 可线上提交,Part B 不可线上提交,这里只会完成 Part A 的部分
Q1 Search Trees
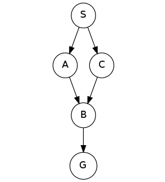
给出下面的状态搜索图,求完整搜索树的节点个数:
Answer
总共两条路:
flowchart LR
S((S)) --> A((A))
S((S)) --> C((C))
A((A)) --> B1((B))
C((C)) --> B2((B))
B1((B)) --> G1((G))
B2((B)) --> G2((G))
搜索树有 7 个节点
Q2 Depth-First Graph Search
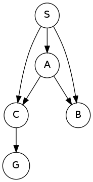
以 S 为起点,G 为终点,求 DFS 下寻得的路径(提交时不要包含箭头或空格)
从同一节点出发的所有节点,按照字母序进行 DFS
Answer
SACG
搜索顺序
flowchart LR
S((S)) --> A((A)) --> B((B)) --> X("🚫") --> A
A((A)) --> C((C)) --> G((G))
Q3 Breadth-First Graph Search
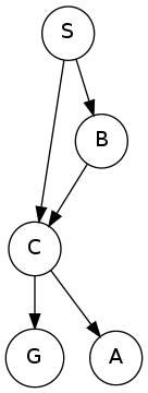
以 S 为起点,G 为终点,求 BFS 下寻得的路径(提交时不要包含箭头或空格)
从同一节点出发的所有节点,按照字母序进行 BFS
Answer
SCG
搜索顺序(从左到右,从上到下)
flowchart LR
S((S)) --> B((B))
S((S)) --> C((C))
C((C)) --> A((A))
C((C)) --> G((G))
Q4 Uniform-Cost Graph Search
以 S 为起点,G 为终点,进行 UCS 寻路
从同一节点出发的所有节点,按照字母序进行 UCS
给出扩展节点的顺序:
- A. Start, A, B, C, D, Goal
- B. Start, A, C, Goal
- C. Start, B, A, D, C, Goal
- D. Start, A, D, Goal
- E. Start, A, B, Goal
- F. Start, B, A, D, B, C, Goal
给出最终返回的路径:
- A. Start-A-C-Goal
- B. Start-B-Goal
- C. Start-A-D-Goal
- D. Start-A-B-Goal
- E. Start-A-B-D-Goal
Answer
C C
搜索顺序(从上到下,从左到右)
flowchart LR
S1((Start)) --> B((B))
S2((Start)) --> A1((A)) --> D1((D))
A2((A)) --> C((C))
D2((D)) --> G((Goal))
最终得到
flowchart LR
S((Start)) --> A((A)) --> D((D)) --> G((Goal))
Q5 Hive Minds: Jumping Bug
在 \(M \times N\) 的矩形迷宫中,有一只瓢虫,每一步可直线向前移动任意距离,转向需要单独花费一步(多格移动和转向移动的成本都是 1 时间单位)。瓢虫如果向前移动 \(x\) 格,则瓢虫向前 \(x\) 格范围内都不能有阻挡
以下哪项是最小状态表示:
- A. 瓢虫的位置 \((x, y)\)
- B. 瓢虫的位置 \((x, y)\) 以及朝向
- C. 瓢虫的位置 \((x, y)\) 以及一个记录从昆虫到目标的最优路径上所需的转向次数的整数
- D. 瓢虫的位置 \((x, y)\) 以及一个记录当前步数的整数
状态空间的大小是多少:
- A. \(M\times N\)
- B. \(\max(M, N)\)
- C. \(\min(M, N)\)
- D. \(4(M\times N)\)
- E. \((M\times N)^2\)
- F. \((M\times N)^{4}\)
- G. \(4^{M\times N}\)
Answer
B D
状态转移只需要瓢虫的坐标与朝向即可
瓢虫坐标有 \(M\times N\) 种状态,瓢虫有 \(4\) 种朝向,因此状态空间大小 \(4(M\times N)\)
Q6 Hive Minds: Time Limit
在 \(M \times N\) 的矩形迷宫中,有一只瓢虫,在每个时间步,瓢虫必须移动到它尚未访问的相邻方格。瓢虫会根据方格中写下的数字得分或失分
给出最多行动 2 / 5 / 8 / 11 步下,瓢虫的最大得分
Answer
最多行动 2 步,获得两次 +1,得分 2
最多行动 5 步,获得两次 -1 和一次 +10,得分 8
最多行动 8 步,获得两次 -1 和一次 +10,得分 8
最多行动 11 步,获得三次 +1 和一次 +10,得分 13




